求助查询一个节点关系环并过滤关系的时间
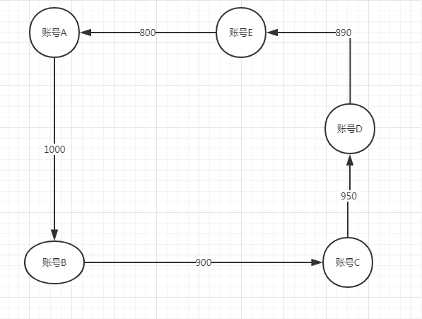
![RW`(F7L)E_GP3FYP$94V5K.png 如图所示, 查找这样一个这种关系环, 并过滤 a–>b—>c b到c的关系时间必需比 a到b的关系时间晚 , 以此类推,保证后面的关系必需比前面的关系时间要晚。 请帮忙如何组织CQL?谢谢
![RW`(F7L)E_GP3FYP$94V5K.png 如图所示, 查找这样一个这种关系环, 并过滤 a–>b—>c b到c的关系时间必需比 a到b的关系时间晚 , 以此类推,保证后面的关系必需比前面的关系时间要晚。 请帮忙如何组织CQL?谢谢